Syndyk sprzeda wyposażenie chlewni za 75% wartości
Nielub gm. Wąbrzeźno Pokaż na mapie ›
Ogłoszenie archiwalne Wygasło: Niedziela, 08 Luty, 2026 10:05
319 621,11 zł
Szczegóły ogłoszenia
- Kategoria: Pozostałe rolnicze
- Stan:Używane
- Cena: 319 621,11 zł
Opis oferty
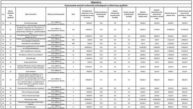
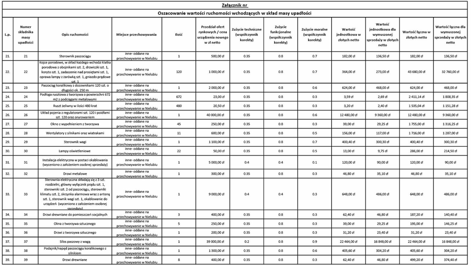
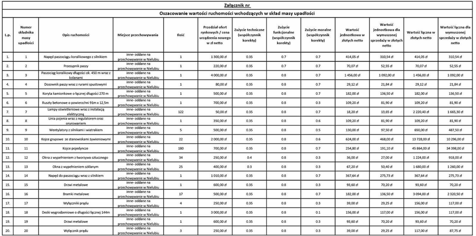
OGŁOSZENIE O SPRZEDAŻYSyndyk masy upadłości zaprasza do składania ofert na zakup ruchomości stanowiących wyposażenie chlewni – zlokalizowanych w miejscowości Nielub, w powiecie wąbrzeskim, w gminie Ryńsk.
Łączna cena wywoławcza oferowanego do sprzedaży majątku stanowi 75% oszacowania i wynosi 319 621,11 zł netto.
Oferty należy składać osobiście w Kancelarii Doradcy Restrukturyzacyjnego w Toruniu przy ul. T. Kościuszki 66/B1 lok. 12 lub za pośrednictwem poczty listem poleconym za zwrotnym potwierdzeniem odbioru w zamkniętej kopercie z dopiskiem „oferta – ruchomości – Nielub – Janusz Baliński”, do dnia 4 grudnia 2025 roku do godz. 15:00. Oferty złożone za pośrednictwem poczty listem poleconym za zwrotnym potwierdzeniem odbioru będą uznane, jeżeli w dniu 4 grudnia 2025 roku do godz. 15:00 będą znajdować się w Kancelarii Doradcy Restrukturyzacyjnego. Termin otwarcia ofert odbędzie się w dniu 5 grudnia 2025 roku o godzinie 10:00.
Konto firmowe
Na Lento.pl od 26 sie 2019
Odpowiada szybko
Strona użytkownika
- Wypromuj ogłoszenie
- Zgłoś naruszenie
- Edytuj/usuń ogłoszenie
- Udostępnij ogłoszenie
- Dodaj na Facebook




